酸了!最美的爱情:一起当教授,一起发Nature,这对夫妻的第五篇正刊!
作者|高分子科学前沿 来源|高分子科学前沿(ID:Polymer-science)
由定域电子引起的相互作用(莫特转变)一般按照预计是发生在半填充的哈伯德模型中,当电子的动能(以带宽W为特征)远远超过它们的相互作用能(以现场库仑斥力U为特征)时,基态是具有明确定义的电子费米面的金属。相反,当U≫W时,基态是具有电荷间隙的电绝缘体。当U和W具有可比性时,系统会经历金属绝缘体转变(MIT)。尽管下面Figure1图片已被广泛接受,但人们对转变的本质仍然知之甚少。在大多数材料中,转变是一阶驱动的,并且通常伴随着同步的磁性、结构或其他形式的排序。连续MIT没有出现对称性破缺、整个电子费米表面突然消失以及跨越量子临界点的电荷间隙的同时打开,仍然是凝聚态物理学中的突出问题之一。尽管对该主题进行了广泛的理论研究,但具体的实验却少之又少。

Figure1. 莫特转变相图
连续莫特转变通常受到几何不稳定性和降维的青睐,其中强量子涨落可以削弱甚至抑制不同类型的有序。二维 (2D) 半导体过渡金属二硫属化物 (TMD) 的莫尔异质结构被认为实现了三角形晶格哈伯德模型,为莫特转变提供了理想的测试平台。该系统是高度可控的——允许独立调整填充因子和有效相互作用强度 (U/W)。特别是,可以通过在场效应器件中进行门控来连续调整电子密度。原则上,可以通过改变 TMD 层之间的扭曲角来调整有效相互作用强度,这决定了莫尔周期,从而决定了带宽。

鉴于此,来自于康奈尔大学的单杰教授和麦健辉教授展示了通过面外电场对U/W的连续调谐。电场改变了两个TMD层之间的电位差,随后是莫尔电位,这主要改变了局部瓦尼尔函数的大小和带宽。接着研究了作为有效相互作用函数的固定半带填充系统的电传输和磁特性。相关研究成果以题为“Continuous Mott transition in semiconductor moiré superlattices”发表在最新一期《Nature》上。

值得一提的是,本文通讯作者单杰教授和麦健辉教授是夫妻,两人同在康奈尔大学工作,至今已发表5篇Nature,22篇Nature大子刊(Nature Materials、Nature Nanotechnology、Nature Physics、Nature Photonics)。

【电场调谐的MITs】
作者研究了具有空穴掺杂的近零度对齐的MoTe2/WSe2异质双层。两种TMD材料具有约7%的晶格失配。在零扭转角下,它们形成周期为~5 nm的三角形莫尔超晶格(图1a)。它们具有I型带对齐,价带偏移约为300 m eV(导带和价带边缘均来自MoTe2)。图1d说明了在两个面外位移场D值下的前两个莫尔价带,这降低了价带偏移。位移场强烈影响带色散。对于足够大的场,第一莫尔条纹的带宽随着D迅速增加(图1e),支持带宽调整的MITs的可行性。
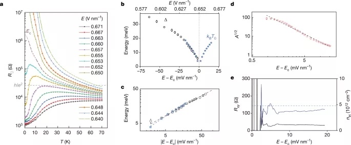
作者制备了具有六方氮化硼(hBN)栅极电介质和石墨栅电极的MoTe2/WSe2异质双层的双栅极场效应器件(图1a、b)。图1c显示了器件1在300 mK时的方电阻作为两个栅极电压的函数。薄层电阻或电导对过渡附近施加的电场敏感;在最低温度(285 mK)下,它在临界场Ec≈0.652 V nm–1的狭窄范围内变化超过四个数量级(图1f)。对于场的不同扫描方向,没有观察到滞后现象。

图1.带宽调谐的金属绝缘体转变
【连续莫特转变】
图2a说明了在代表性电场下电阻高达70K的温度依赖性。他们表现出两种类型的行为。在临界场以下,冷却时电阻增加,这是绝缘体的特性。电阻遵循热激活依赖性。作者提取了图2b中电荷传输的激活间隙Δ。当Ec从下方接近时,间隙大小从几十m eV单调减小到几m eV。它遵循幂律关系Δ∝|E−Ec|νz,指数νz≈0.60±0.05(图2c)。在临界电场之上,电阻在低温下在高达~10K的范围内遵循T2依赖性。这是具有电子-电子拍转散射的朗道费米液体的特征。质量发散与霍尔密度的弱电场依赖性形成对比,结果表明,整个电子费米表面都有助于传输,由于MIT附近的量子涨落,m*在Ec处发散(图2d,2e)。

图2.连续莫特转变
接下来,作者展示了MIT附近电阻曲线的量子临界缩放崩溃。首先确定观察到R的简单幂律依赖性的临界场的精确值。通过临界场Rc(T)处的电阻将R归一化。在温度由场相关的T0s缩放后,MIT附近的电阻曲线折叠成两个分支(图3a,b)。顶部和底部分支分别代表绝缘和金属传输行为。图3a、b还比较了相同设备在不同热循环后的两组测量结果;非常接近临界点的行为会受到紊乱的影响。图3c揭示了广泛观察到的量子临界性的“扇形”结构。

图3.量子临界缩放
【MIT附近的磁性】
由于莫特绝缘体的基态和低能激发态是由磁相互作用决定的,作者检查了临界点附近的磁性。作者通过磁圆二色性(MCD)表征面外磁场B下TMD莫尔异质结构中空穴的磁化。图4a说明了MCD对1.6 K的几个电场的磁场依赖性。MCD在小场中随B线性增加,并在B*以上饱和。饱和场B*随金属侧的电场而增加,但在绝缘侧与电场弱相关(~4-5 T)。两侧的MCD饱和产生于不同的机制。在金属侧,B*与磁阻的饱和场(图4c)非常吻合,在该场中,传输从金属转变到绝缘(插图)。在绝缘侧,B*反映了磁相互作用能级。MCD可以转换为磁化,因为在饱和时它的值对应于完全极化的自旋的磁化。接下来,作者从B=0附近的磁化斜率获得磁化率χ。图4b显示了χ−1在不同电场下的温度依赖性。图4b还显示了MIT附近两侧在低温下的显着磁化率。磁化率还显示出对MIT电场的平滑依赖性,低至1.6 K(图4d)。这些观察结果表明,从费米液体到非磁性(或低于1.6 K的120度Néel)莫特绝缘体的MIT,在有限温度下具有广泛的自旋熵。

图4.莫特转变附近的磁性
【总结】
作者证明了MoTe2/WSe2莫尔超晶格中的连续莫特转变至300mK,并在量子临界点附近进行了缩放分析。MIT是通过改变面外电场引起的,该电场主要改变莫尔电位深度,从而改变U/W。结果(包括持续消失的电荷间隙、发散的有效质量、贯穿MIT的恒定自旋敏感性和朗道‑波梅兰丘克‑米格代尔效应效应)指出了连续MIT的一个明显例子,整个电子费米表面突然消失。此外,由于半带填充密度比无序密度高近两个数量级,无序仅在观察到的相互作用驱动的MIT中起微扰作用。本文MIT具有非常不同的能量尺度并且没有晶格,突出了转变的普遍性。未来对转变附近的传输和磁性特性的研究,特别是在较低温度下,可能会揭示新的奇异物质状态,例如量子自旋液体。
编者按:本文转载自微信公众号:高分子科学前沿(ID:Polymer-science),作者:高分子科学前沿
广告、内容合作请点这里:寻求合作
咨询·服务
