中国科学家团队最新研究:睡太多,或太少,都与认知下降有关

(图片来源 :摄图网)
作者|生物技术君 来源|中国生物技术网(ID:biotech-china)
睡眠是我们每个人赖以生存的续命行为,因为不睡觉会死(不信你看:Cell解谜:不睡觉真的会死!但致死的变化不是发生在大脑,而是肠道...)。我们都知道缺觉会引起各种身心健康问题,但同样,睡太多(每晚睡眠时长≥10小时)也不行,因为会对认知造成影响。
北京时间9月22日,发表在《JAMA Network Open》上的一项新研究中,由北京大学临床研究所领导的中国科学家团队针对中老年人口的睡眠时间与认知能力下降之间建立了关联。

该研究第一作者、北京大学临床研究所马燕军博士说:“我们的研究还不能证明睡眠过多或过少会导致精神认知衰退,但证明两者之间似乎存在联系。”
众所周知,睡眠是动物界普遍存在的现象,人类大约有三分之一的时间用于睡眠。适量的睡眠有助于保持健康和预防疾病;睡眠剥夺使大脑不能正常运转,影响注意力、思维能力和记忆处理,但对于背后的机制科学家们仍在探索。
马燕军说:“睡眠过度可能与炎症有关,而睡眠过少可能会增加脑脊液淀粉样斑块和tau蛋白的水平,这是阿尔茨海默症的特征。”
纽约市西奈山老年痴呆症研究中心的副主任Sam Gandy博士补充说:“在睡眠期间,脑淋巴系统比昼夜节律周期中的任何其他时间都更活跃,能有效地清除过量的毒素,包括β-淀粉样蛋白。每个人在睡眠和淀粉样蛋白清除之间可能都有某种最佳的平衡,其中一种物质过多或过少都会导致另一种物质朝着错误的方向倾斜。个体优化技术还没有推广到大脑中的毒素水平,但这看起来是一个重要的新兴领域。优化睡眠和淀粉样蛋白清除率可能和睡眠呼吸暂停一样,会成为易于治疗的另一个导致晚年认知能力下降的因素。”
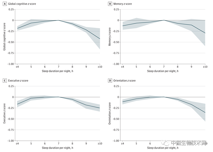
这项新研究中,研究团队利用英国老龄化纵向研究(ELSA)和中国健康与养老追踪调查( CHARLS)这两个具有国家代表性的队列探究了中老年人群中基线睡眠时长与后续认知下降速度的关系。受试者在基线报告了每晚的睡眠时长,并在基线和随访调查中做了记忆功能、执行功能、定向功能三方面的认知功能测试。
研究共纳入了20065人(ELSA研究中平均年龄64.6岁的9254人,CHARLS研究中平均年龄57.8岁的10811人),总计随访10万人年,经过对多种混杂因素的调整后发现睡眠时长与认知下降速度的关系呈倒U形曲线,与睡眠时长为7小时的受试者相比,每晚睡眠时长≤4小时或者≥10小时的受试者不但基线认知得分显著较低,而且在后续随访期间的认知得分下降速度也显著更快。

与这篇新研究共同发表的社论中,来自美国加州大学旧金山分校的精神病学助理教授Yue Leng博士说:“越来越多的研究发现,睡眠时间和认知能力之间存在U型关系,睡眠时间过短或过长都与认知能力差有关。”

Leng指出,这种U型关系的原因仍有待查明,并建议,应该考虑采用新颖的统计方法(例如孟德尔随机化或因果中介效应分析),以克服传统观察性研究的局限性,并阐明潜在的睡眠时间和认知能力下降的途径。最终,睡眠和认知的研究需要超越睡眠时间。在制定预防痴呆症的管理策略时,应同时考虑睡眠质量和睡眠时长。
编者按:本文转载自微信公众号:中国生物技术网(ID:biotech-china)
广告、内容合作请点这里:寻求合作
咨询·服务
