芯片制造中的软力量(中)
作者|李剑 来源|常垒资本(ID:conswall_cap)
4
APC(先进过程控制)
1. 先进过程控制(APC)
1.1. 先进过程控制(APC)
先进过程控制(Advanced Process Control,APC)已成为当今半导体制造不可或缺的基石。APC扎根于化学加工,不仅在半导体制造中证明了自己的实力,而且在提高光伏等相邻行业的产量方面具有潜力。
APC技术起源于化工行业。

而今,前段半导体厂已经进入工厂自动化的新阶段,那就是强调通过制程控制来得到更高的成品率和生产效率。
先进制程控制(Advance Process Control,APC)技术在半导体业的应用研究已近十年,然而真正引起人们注意还是在最近这几年。
随着半导体工艺技术进入90nm,半导体器件加工时的工艺窗口非常狭小,这就对半导体生产企业提出了比以往严格得多的制程控制要求。
以往的统计制程控制(Statistical Process Control,SPC)和单独对某一参数的控制方法已经不能适应当前的制程技术要求,因而APC技术成为一种必不可少的关键技术。
随着12寸晶圆在全世界的发展,半导体生产规模不断地扩大,制造工艺不断复杂、芯片的集成度也越来越高,如何提高产品的良率(Yield)变成一个相当重要的问题。
随着晶圆日趋增大和关键尺寸的不断缩小,半导体制造过程的质量实时控制变得越来越重要。集成电路关键尺寸不断缩小、单个芯片功能和性能的不断增强一直是半导体工业的发展方向,因此,需要运用先进的过程控制技术。
然而,与传统石油化工过程相比,半导体制造业具有过程复杂、生产周期长、质量测试设备昂贵、环境条件苛刻等显著特征,这就对控制理论研究和工程实践提出了许多挑战性的问题。
半导体制造包括数百个工艺步骤,从晶圆到封装芯片的整个器件处理时间通常为六至八周。图1示出了一般的半导体制造过程的示意图。为了满足设备质量要求并保持高产量,需要对每个工艺步骤进行非常严格的控制,并在生产线上实施。

光伏器件,特别是薄膜电池,还有单晶和多晶电池,也具有相当苛刻的多层结构。
其往往与半导体生产具有相似性的各个制造工艺可以提供所需的层厚度,均匀性和组成,确定晶胞特性的晶相和晶体结构。即使最小的工艺变化也会影响电池结构,更重要的是,会影响电池性能。
不断提高的质量和电池效率要求,再加上巨大的价格压力,要求非常高的过程稳定性和对过程变化和漂移的快速反应。
因此,正如在半导体制造业中所看到的那样,严格的过程控制将逐渐在光伏产业中变得至关重要,以建立并维持高产量的高质量和高效率生产。
就像其他制造业部门一样,半导体行业一直采取措施,通过增加过程控制来确保高质量的生产率。常见的方法包括统计过程控制(SPC),神经网络的使用(尤其是在高维问题中)以及先进过程控制(APC)。
APC的基本目标是双重的:获得更接近过程的过程控制措施,并使控制动作自动化。
图2示出了在发生错误的情况下半导体晶片的增加值如何增加损失。为了使损失最小化,必须及早应用适当的测量和控制方法。

在半导体工艺制程中,影响半导体制程质量的因数不仅仅是制程配方(Recipe),还有产品前段制程质量和制程设备当时的状态,而且这些影响因数之间通常有非静态的,自关联性的及交互关联性的特质。减少或消除这些因数对制程的干扰是提高芯片成品的合格率的关键。
先进的半导体过程控制技术(Advanced Process Control,APC)研究的目的就是应用Run-to-Run控制方法,利用数据的正向补给和反馈来有效的监控制程过程与设备状态以及调整制程的偏移,消除对制程的各种干扰,以提高产品良率。
集成电路生产线投资成本高,为了尽快收回投资成本,需要不断提高设备的生产效率。采取各种措施来提高设备的利用率,让工艺生产线具有可延伸性、灵活性和可伸缩性,尽量延长使用周期,提高工艺设备的稳定性,减少设备的停机维护时间。
APC 是为了满足以上所提及的需求而新近发展起来的工艺控制技术。APC可定义为自动判断该如何去操作一台设备,或是一组设备,或是整个厂的所有设备,以期获得理想的工艺过程或产品的方法学。
通过使用与加工材料及测量数据所得到的信息,APC可根据最后所需要达到的目标来选择应采用何种模型及控制策略来控制可操作变量的值。APC 也可决定能否达到预期的目标以及通知用户进行必要的设备维护。总而言之, APC可对以下问题作出相应的判断:
1.调整什么变量,何时进行调整,调整的程度如何;
2.监控调整的变量,确保他们的调整幅度不至于太大;
3.监控调整的变量,确保他们不至于调整过于频繁;
4.如果发现被调整的变量超出了可接受的调整范围,产生一个报警用于结束工艺过程;
5.确定哪个变量具有非期望的值或行为;
6.确定产生非期望值或行为的原因。
APC技术的目的是解决制程过程中各项参数和性能指标漂移的问题,及时纠正误差。它的实施有助于提高生产率、降低能耗、改善产品质量和连续性,以及改善制程的安全性等,使得制程设备能够实现更加严格的工艺窗口,满足未来65nm技术结点或以下制程技术的要求。

图 APC技术在半导体工艺控制中的应用
从功能上来看, APC 技术具有工艺过程的参数校正及故障管理两大功能, 过程参数的校正就是上面所谈到的各种控制手段。而故障管理则包括实时的故障诊断以及故障的分类及响应。
APC 技术是由各种传感器所收集的信号驱动的, 是一种基于模型控制技术。
从图1可以看到, APC 几乎可以涵盖所有的前道工序, 如薄膜沉积, 光刻及刻蚀, 并且与各种测量设备紧密结合起来, 进而形成一个完整的控制体系, 严格的将各种工艺参数控制在规定的指标范围之内。
1.2. APC技术的基本功能系统
以目前的现状来说,APC的功能大致包括,设备状态监测(Equipment health monitoring),错误侦测与分类(Fault detection and classification,FDC),Run-to-run Control,预测性保养(Predictive maintenance,PDM)等等。
这些可以协助设备相关工程人员降低非工作预订的设备停机次数,适时侦测与排除发生问题的设备,减少产品的发生问题的机率,在线调整制程,减少因设备特性漂移对制程的影响,对于产品良率和品质的提升有极大帮助。
先进制程控制己被广泛地应用到许多技术的领域,从工厂的管理软件系统到特殊设备的特定感应系统。
1.3. APC的工作原理
APC系统需求包含前值数据收集,制程配方的计算和修正,后值数据反馈。因为制程工艺很复杂,在实现R2R Control的过程中,虽然可能Feed forward/Feed back的数学模型是一样的,但是对于不同的产品和制程情况,模型中的因子的值会有所区别,制程工程师要能根据产品制程情况调整模型中的参数。因此,APC系统还要提供界面给工程师实时的调整制程参数和数据查询。

图 APC系统交互顺序
1.3.1. APC技术的基本功能系统与工作原理
APC系统是一个多层次的控制系统,APC可定义为自动判断该如何去操作一台设备,或是一组设备,或是整个Fab厂的所有设备,以期获得理想的工艺过程或是产品的方法学。
通过使用与加工材料及测量数据相关的信息,APC可根据最后所需要达到的目标来选择应采用何种模型及控制策略来控制可操作变量的值。APC也可决定能否达到预期的目标以及通知用户进行必要的设备维护。
因为每个企业的生产有着它自己的特殊性,所以如何在最短的时间内能做出适应性强的APC系统就更有其充分的必要性。
1.3.2. 过程特性分析
一个工作机台可以视为由晶圆、工艺配方和机台组成的三元子系统。
晶圆的加工偏差随该晶圆在生产线上的流动而传播 ,机台本身特性的变化将对所有经该机台加工的晶圆产生影响;
另一方面,考虑机台上下线的调度指令,使得生产过程始终处于动态变化之中;同时,集成电路技术变革以及产品种类多样性使得晶圆生产线也经常处于变化中。以上特征使得半导体制造业本质上具有柔性加工组织模式。
建立精确模型是实现高精度控制的重要步骤。
对于半导体制造这种纳米级的生产过程来说 ,建模涉及到宏观和微观两种不同的表征尺度。品质评价取决于微观上的加工是否达到了要求,而过程的控制变量只能是宏观层面。
对这种宏观上的输入与微观上的输出,建立其准确的数学模型相当困难;另外,缺乏对过程和设备的理解,很难确认哪些因素对过程产生怎样的影响 。
抑制扰动是半导体制造过程控制最主要的目标。
来自加工机台方面的扰动只作用于该机台 ,通过实施合理的反馈控制可以将其消除。来自待加工晶圆特性方面的扰动将存在于整个生产流程当中,但通过前馈或进料序列安排可减轻这类扰动的引入。还有一类扰动源自专门承担量测任务的机台,局部控制策略无法消除这类漂移,需要上一级或厂级的控制作用。
对于缺乏原位测量的半导体制造业来说,很难实现质量的实时在线测量 ,即使是异位测量 ,测定纳米级的质量参数也极为困难,更特殊的是量测工具共用以及只对少数晶圆进行测量导致的测量滞后和测量调度等问题。
针对以上半导体制造过程的测量形势,现有以下解决方案 :
(1)研发快速的、非破坏性的原位测量机台,特点是直接、准确、及时和高成本;
(2)用软测量的方法,特点是可以综合利用多种信息资源,但其精度受限;
(3)通过定性测量收集数据,虽然精度不高,但可以有效减小测量滞后 。
1.3.3 控制结构及算法
统计过程控制 (SPC)是从 20世纪 80年代中期开始被引入到半导体制造过程控制领域的。该控制通过对过程中工艺参数进行统计分析,实现产品品质的监控和预测。然而在多品种、大批量制造模式下,这样的控制策略导致管理过于复杂。
目前 SPC技术已经比较成熟,但 SPC对人为经验有极大的依赖性,这在一定程度上制约了半导体制造技术的发展。Run-to-run(R2R)控制正是为了克服这种制约而提出的。
1.3.4. 控制系统组成
半导体制造过程的控制系统一般由厂级、产品级和机台级三部分组成,控制策略以 Run-to-run控制算法为主,图1给出了多层控制系统的组成结构。厂级控制层主要实现经营决策,并根据晶圆验收测试结果WAT(waferacceptancetesting)来实现协同控制功能。
产品级控制的主要功能是更新机台实时控制器的设定值,这些设定值称之为配方,故障检测和诊断也属于这个层次。机台级控制属于实时控制,其 PID控制器由机台制造商提供。

1.3.4.1. Run-to-run控制策略
R2R控制技术是半导体工业中广泛用于保证产品品质的一类算法。下图是基于模型的 R2R控制结构图。
在每个批次开始之前 ,基于之前在该机台加工过的晶圆质量信息和待加工晶圆的信息,控制器以输出偏差最小为目标 ,计算求得该机台操作的最佳配方,从而使待加工晶圆通过该机台的处理达到期望的质量指标。

图 R2R控制结构图
R2R控制有如下特点:
(1)采用了离散反馈控制机制,在批次过程中保持配方不变;
(2)允许异位测量;
(3)以更新机台实时控制器设定点为目标;
(4)可以组成多入多出控制器;
(5)在小批次或模型不准确时需要仔细调整参数。R2R控制器的本质是确定工艺配方如何更新的法则。
R2R控制设计的一类基本算法是指数加权滑动平均 (EWMA),其形式与内模控制相仿。基于EWMA的R2R控制器有多种形式,如s-EWMA控制器可以有效抵御突变性扰动;d-EWMA控制器增加了克服慢漂移扰动的功能。
针对半导体制造业中的多种类、小批次特点,提出了有变动折扣因子的v-EWMA控制器;以 S/N比的概念,提出一个连续调整折扣因子的方法 ;给出了样本大小和多变量 d-EWMA稳定性之间的关系。
除 EWMA型控制规则外 ,还有一些其他的控制器设计。Castillo提出了自适应 R2R控制器, 研究了不同噪声模型使用自调整控制器的情况,并与最小方差控制器进行了比较。
这种控制器由非线性约束优化器和递推最小二乘(RLS)估计器组成,基本思想是对一个非线性回归模型(Hammerstein模型 )进行在线估算。
自调节控制器隐含了模型辨识与控制设计的分离原则 ,对于初始参数未知的过程,自调节控制器效果明显。研究表明 ,即使过程存在强自相关,这种控制方法对于突变漂移和确定性缓慢漂移也表现出较好的鲁棒性 ,但缺点是实现成本高,且只适用于 Hammerstein模型。
Mullins提出用线性模型预测控制 (LMPC)来实现R2R控制器。LMPC控制器是用传统的状态空间模型来求解一个二次规划问题 。与 d-EWMA模块一样,它在有模型建模误差的情况下可以实现无余差目标追踪 ,而且基于 MPC算法的 R2R控制器具有较多的软硬件资源可用。
以上介绍的控制器都是以定量观测为基础的,然而在实践中受各种约束限制,定量测量并不一定可用。一些研究人员已经提出用改进的算法来改善定量信息缺乏的困境。
1.3.4.2. 厂级控制
半导体制造商主要通过降低成本和缩短生产周期来获取利润,而提高产品良率、减少测试晶圆的数量和缩短机台维修时间是降低成本的主要途径。
这些都不是单独对一个操作单元进行改进就可以实现的,需要先进的厂级控制,以及对所有工序进行监控和优化。厂级控制系统的组成如下图所示。

图 模块化的厂级控制结构
半导体产品的良率与晶圆的电气特性高度相关 ,为了保证高良率,必须使晶圆的电气特性符合设计规格要求。低层的 R2R控制无法对量测机台中的漂移进行补偿,这将严重影响晶圆的电气特性。
厂级控制的一个主要作用就是直接控制电气特性,通过一个预测模型来优化下层的 R2R控制器,更新 R2R控制器中的设定值 。
厂级控制的第二个任务是优化工序。为了最大化设备的使用率,半导体制造过程中多种产品在生产线上同时生产是基本的模式。即使同一种产品的生产,每个批次晶圆也会因为处理结果的不同而产生多样的潜在进程安排。
如何合理地安排工序进程将是厂级控制要解决的问题。王遵彤等人提出兼顾投料与调度策略的复合优先级控制策略 ,通过比较加工任务的复合优先级系数来确定工序。
全厂监测功能在厂级控制的地位越来越重要。半导体制造过程由多道工序组成 ,这些设备以并行模式和串行模式构成。频繁的设备维护和严格的生产环境需要对全厂的设备和控制器进行追踪和监控,及时发现问题,安排维护,为工序进程安排提供参考。
通信功能是实现厂级控制的保证。厂级控制既要提供人机界面、控制器与数据库以及控制器与机台等纵向的通信标准,还要在过程与过程之间建立联系。集成电路设计技术和半导体制造技术的迅猛发展都要求有一个柔性开放的平台。
SEMATECH为半导体工业规划了一个计算机综合制造 (CIM)的框架规范,其目的是提供一个开放自由的软件结构。该结构需要考虑到互用性、替换能力、扩展能力以及通用组件再使用。
为了确保机台装备与未来发展兼容 ,厂级控制架构需要规范面向机台的通信标准,比如基于SEMI/GEM半导体装备通信标准 (SECS)。除了为机台通信制定标准外,厂级控制还要为一些应用软件定义标准接口,如 Matlab、ModelWare等,现场工程师利用它们可以更有效地改进控制方案和及时预报故障。
在实行厂级控制的时候,数据库的建立很重要。半导体制造过程存在不同时间尺度的信息,应该将其区分好;同时,数据挖掘技术的发展有望在大量数据中发现有用的关联、模态和趋势等有用信息。
2. APC在半导体制造中的应用
2.1. 等离子体刻蚀过程
对于高密度等离子体刻蚀机, 刻蚀速率相对较快, 而与此同时刻蚀薄膜的厚度在不断变薄, 因而需要迅速对等离子体刻蚀状态进行测量, 以便于实现过程控制。
为了减小刻蚀工艺过程的漂移, 就需要对刻蚀过程中的主要刻蚀参数(刻蚀速率或是刻蚀深度,刻蚀各项异性, 选择比及刻蚀均匀性)进行基于传感器系统的实时反馈控制, 实时反馈控制中的一个关键环节就是利用非侵入式传感器测量过程参数。
正如在前面的章节中所讨论的, 非侵入式测量技术包括光学测量技术(OES, IEP 和光谱椭偏技术等),RF 阻抗分析仪等。工艺参数之间存在很强的相互影响和作用,属于MIMO控制类型,因而基于这些过程参数对刻蚀现象进行建模分析是非常复杂的。
对于实时测量的传感器数据以及由制动器得到的数据, 由于彼此之间的相互关联度很大,因而限制了传统的 SPC 技术在实时反馈控制中的应用。人们提出了在实时反馈控制器的模型中引入时间序列方法及多变量统计算法对数据进行处理。

2.2. 化学机械研磨CMP
随着半导体技术的快速发展,器件特征尺寸的显著减小,半导体制造业对工艺误差的控制要求越来越严格。目前,测量机台的发展促进了测量机台和工艺机台的整合(在线测量)。
这种在线测量技术增加了半导体制造过程对晶片前后值的测量和反馈频率,从而提高了对工艺误差的控制,减少了产品的报废。随着整合测量技术的提高,先进工艺控制( APC)得到了进一步的发展,满足了当前工艺特别是65nm以下的需要。
目前APC 已逐渐被半导体器件制造商广泛接受, 并且在化学机械研磨工艺( CMP) 中得到了成熟的发展。
3. APC技术的组成
先进过程控制技术(APC)是半导体领域不可或缺的技术,其技术组成可以分为如下几类,具体见下图。

3.1. 多变量预测控制
先进过程控制技术的核心是多变量鲁棒预测控制器,采用模型预测控制算法。
预测控制算法具有三大基本特征:预测模型、滚动优化和反馈修正。其计算步骤是:在当前时刻,采用过程动态模型来预测未来一定时域内每个采样点的过程输出,并用当前时刻的预测误差修正模型的预报值;然后,基于输出期望设定值与预测值的偏差按某个优化目标函数计算出当前及未来一定时域的控制量。为了柔化控制量和防止超调,一般要求设定值按照某种参考轨迹达到其目标值。
每次计算后,仅输出当前控制量并施加给实际过程。至下一时刻,根据新的测量数据重新按上述步骤计算控制量。因此,这种计算是一个不断滚动的局部优化过程。
先进过程控制的多变量预测需充分考虑实际控制系统中的各种要求,保证系统性能和控制器的鲁棒性。通常要求实现以下功能:
1. 灵活的约束控制可满足工艺要求的同时,较好地提高装置产能。
2. 局部优化装置控制手段,有效提高产品质量。
3. 在满足装置工艺指标和装置控制回路指标上下限约束的前提下,有效地利用对控制回路的调节,使工艺指标按照装置测试得到的模型算法及制定的闭环性能达到预期的性能指标。
4. 通过触发“先进过程控制集成平台”提供的虚位号脚本功能实现自定义控制,用户可以通过该功能对多变量鲁棒预测期进行扩充,从而提供更强大的灵活性和运算能力。
3.2. 统计过程控制(SPC)的方法
SPC是一种成熟的技术,它使用统计方法来分析过程或产品指标,以采取适当的措施来实现并维持统计控制的状态,并不断提高过程能力。许多SPC工具都基于所谓的Western Electric Rules。
SPC虽然被用来侦测与验证制程的稳定性与正确性,但理论上却不能称为一种控制,因为尽管SPC提供侦测制程异常的机制,却不提供改正这个异常的方法,必须制程工程师人工的干预来调整制程,实时性比较差,校正结果经常会持续偏离操作的目标值,因此如何使用实时设备状态信息,比如附属工具和其他影响制程的部件的数据,为整个系统的运行提供更好的制程控制就有了迫切性。先进制程控制(Advanced Process Control,APC)技术是解决这一问题的有效方法。
3.3. 故障检测(FD),故障分类(FC)和故障预测(FP)的方法
FD是监视和分析工具和/或过程数据中的变化以检测异常的技术。FC以此为基础,涵盖了一旦发现故障就确定故障原因的技术。两种方法通常一起用作“故障检测和分类”(FDC)。
FP是一种监视和分析过程数据中的变化以在异常和故障实际发生之前对其进行预测的技术。
3.4. RtR的方法
RtR是在生产运行之间修改配方参数以提高加工性能的技术。“批量”可以是一批,一批或单个晶片。
在串行处理中,此方法仅可在两次测量之间应用。Run-to-Run control是一种离散式控制,经过上一站的量测设备后,目前晶体进入本站的同时,上一站的量测结果传送给本站的控制器,作为控制器调整本站本次制程配方的依据,这种控制称为前馈控制(Feed forward);之前的晶体经过本站的量测设备后,当目前晶体进入本站的同时,本站以之前的量测结果传送回本站的控制器,供控制器作为本站本次制程配方的调整依据,这种控制称为回馈控制(Feed back)。前馈控制利用量测结果告知控制器实际的制程起点,而回馈控制利用量测结果告知控制器实际的制程终点。

图 R2R控制方块图
若将控制器的部分独立出来,则可看出如图2-4中输出输入的关系。R2R控制器将设备中特定制程的制程配方与前制程结果,后制程结果做比较,并提出建议的制程配方或制程配方的修正值。

图 R2R控制器输入输出关系
通过对R2R Control的介绍,可以看出,实现R2R Control的流程是:收集前站量测数据并向前传送——计算制程配方调整量并修正制程——收集后站量测数据并反馈给控制器。
3.5. 虚拟测量(VM)的方法
VM是通过使用物理模型从现有制造参数或上游度量(例如工艺状态,附加传感器,温度,压力,气体流量等)中得出晶片参数或产品参数的技术。
3.6. 整合量测作为APC的推动力
在简单的方法中,这些参数可以通过独立的度量工具进行测量,并且所研究的基板或设备的测量质量参数可以用作控制过程和相应设备的输入参数。有趣的是,特别是对于较大的基板面积和高通量的生产过程,事实证明,测量参数可以更有效地用作更接近设备的控制策略的输入。
在半导体加工中,整合量测(IM)已被证明是APC的推动力,并在工艺开发和批量生产中提供了可观的收益。成功且有效地实施IM的几个先决条件是必要的。其中包括:传感器或测量设备的机械集成和自动化解决方案的可用性;是否存在可在设备或过程环境中正确进行测量的分析方法;以及与数据框架的有效连接,从而实现了整个晶圆厂的APC策略。
过去,针对半导体行业中的不同工艺类别开发了各种IM解决方案,例如等离子处理,光刻,热沉积和氧化工艺以及注入。用于IM集成的改造解决方案可能适用于现有设备,但是最有效的方法是在过程设备开发的早期阶段开发IM和APC策略。

3.7. 系统集成
完整的先进过程控制系统需将多变量预测控制技术、软测量和工艺计算技术有机结合起来,在装置上进行整体应用。
4. 小结
显然,这些方法的正确应用在很大程度上取决于整个晶圆厂的数据可用性。这些数据可以来自制造设备(例如设备健康指示,正常运行时间数据),来自过程(例如温度,压力)或来自晶片(例如层厚度,层组成)。
为了能够应用控制算法,必须识别“质量参数”以及“可调参数”。质量参数描述了生产运行是否成功;可调参数是可以实际调整以适应过程的参数。此外,无论在哪里收集数据,都必须特别强调数据质量(例如准确性,分辨率,正确的时间戳记,上下文信息),因为每种控制措施都只能与它所依赖的数据一样好。
图3在抽象的处理流程中描述了APC的上述某些元素。这与半导体或光伏制造中的实际实现方式无关,因为有关过程和产品属性的数据是通过传感器和专用计量收集的。
基于对特定质量参数是否超出定义限制的了解,来自传感器的数据将在过程n中用于简单的“通过/不通过”决策。过程数据和度量数据都用于提供运行到运行的控制算法,以调整过程n的可调参数,以适应在后过程度量或先前度量步骤中检测到的质量参数的变化。
基于用于自动调整配方参数的计量步骤,这称为前馈或反馈控制。前馈和反馈都可以组合使用。
5
SPC(统计过程控制)
1. 统计过程控制SPC
1.1. SPC简介
随着科技的发展,产品的制造过程日益复杂,对产品的质量要求日益提高,电子产品的不合格品率由过去的百分之一、千分之一降低到百万分之一(ppm),乃至十亿分之一(ppb),仅靠产品检验剔除不合格品,无法达到这样高的质量水平,经济上也不可行,必须对产品的制造过程加以控制,在生产的每一步骤实施控制。
为了实现对产品的制造过程加以控制,早在20世纪20年代休哈特就提出了过程控制理论以及控制过程的具体工具——控制图(control chart)。1931年休哈特出版了他的代表作《加工产品质量的经济控制,Economical Control of Quality of Manufactured Products》,这标志着统计过程控制时代的开始。
统计过程控制就是应用统计学技术对过程中的各个阶段进行评估和监控,建立并保持过程处于可接受的稳定水平,从而保证产品与服务符合规定的要求的一种技术。它包含两方面的内容:
一是利用控制图分析过程的稳定性,对过程存在的异常因素进行预警;
二是计算过程能力指数分析稳定的过程能力满足技术要求的程度,对过程质量进行评价。
1.2. 统计过程控制在集成电路生产中的应用
在集成电路制造生产过程中,每一个主要的生产步骤之后都会进行一些测量或监控,例如所沉积的薄膜的厚度,化学机械抛光之后金属或绝缘体薄膜的厚度,刻蚀之后沟槽、通孔、有源区、栅极的宽度等,以确保该工艺步骤是合格的,避免不合格品流落到下一道工序继续生产。
把这些测量值以适当的方式放入到SPC Chart中,并开启设定的判异准则,则可以提前发现产线的异常,在异常还未对产品产生不可接受的影响之前,就把问题显现出来,SPC的执行系统会产生一个OCAP(out of control action plan),由生产或工程人员按照OCAP的流程对异常进行处理,从而有效避免不合格品的发生。
考虑到所测量参数的固有物理性质、对产品的影响程度以及判异发生时故障排查的难易程度,通常只选择8个判异准则中的一个或几个,避免虚发警报的概率过高,如果只选一个,通常选择WECO rule 1,即单点超出控制限。
不断提高过程能力指数(Cpk)是统计过程控制在集成电路生产中应用的重要环节。在同样的条件下,过程能力指数越大,测量参数落在公差界限之外的概率越小,通常Cpk达到1.67已经是比较理想的状态,继续提高Cpk可能意味着巨大的投入但收益很小。如果把Cpk≥1.67作为改进的目标,公差界限设置合理是重要的前提条件。
1.3. DOE、分析工具与SPC之间的关系
DOE(DESIGN OF EXPERIMENT试验设计)在质量控制的整个过程中扮演了非常重要的角色,它是我们产品质量提高,工艺流程改善的重要保证。实验设计已广泛运用了从航天业到一般生产制造业的产品质量改善、工艺流程优化甚至已运用到医学界。
通过对产品质量,工艺参数的量化分析,寻找关键因素,控制与其相关的因素。根据实际需求,判别与选择不同的实验设计种类,设计你的实验步骤,发现如何控制各种影响因素,以最少的投入,换取最大的收益,从而使产品质量得以提升,工艺流程最优化。

1.4. SPC的局限性
1.4.1. 传统休哈特控制图的局限性
对于传统休哈特控制图而言,为建立控制图、计算控制限,需要样本数据满足IIND 条件,同时也要保证一定的样本数据量,即:至少 20 至 25 批数据,每批5个样本。尤其是控制限的计算过程当中需要估计工艺参数母体的标准偏差,一旦样本数据量较少,将导致母体标准偏差的估计值与真实值偏差较大,这势必造成控制限的结果误差较大,进而影响到控制图的检测性能。
1.4.2. 与APC技术的比较
SPC是一种成熟的技术,它使用统计方法来分析过程或产品指标,以采取适当的措施来实现并维持统计控制的状态,并不断提高过程能力。
许多SPC工具都基于所谓的Western Electric Rules。SPC虽然被用来侦测与验证制程的稳定性与正确性,但理论上却不能称为一种控制,因为尽管SPC提供侦测制程异常的机制,却不提供改正这个异常的方法,必须制程工程师人工的干预来调整制程,实时性比较差,校正结果经常会持续偏离操作的目标值,因此如何使用实时设备状态信息,比如附属工具和其他影响制程的部件的数据,为整个系统的运行提供更好的制程控制就有了迫切性。
先进制程控制(Advanced Process Control,APC)技术是解决这一问题的有效方法。
1.5. SPC的优点与缺点
1.5.1. 优点
目前SPC的优点主要是:
(1)是已经证实的改善生产力的技术方法;
(2)预防缺陷的有效方法;
(3)防止不必要的过程调整;
(4)提供诊断信息;
(5)提供过程能力信息;
(6)用于计数型和计量型两种数据类型。
1.5.2. 缺点
SPC除了上文提到的局限性,仍然存在一些缺点:
(1)必须提供充分的培训;
(2)必须正确收集数据;
(3)必须正确的计算和标绘所需的统计量(例如:均值、极差、标准差);
(4)必须正确分析图表;
(5)所采取的纠正措施必须适当。
2. 统计控制图
2.1. 控制图原理
导致质量特性波动的因素根据来源不同可分为人员(man)、设备(machine)、原材料(material)、工艺方法(method)、测量(measurement)和环境(environment)六个方面,简称5M1E。
根据对产品质量的影响大小来分,可分为偶然因素(简称偶因,common cause)与异常因素(简称异因,在国际标准和我国国家标准中称为可查明原因,special cause,assignable cause)两类。
偶因是过程固有的,始终存在,对质量的影响微小,但难以除去,如机器振动,环境温湿度的细微变化等。异因则非过程固有,有时存在,有时不存在,对质量影响大,但不难除去,例如配件磨损等。
偶因引起质量的偶然波动,异因引起质量的异常波动。偶然波动是不可避免的,但对质量的影响一般不大。异常波动则不然,它对质量的影响大,且可以通过采取恰当的措施加以消除,故在过程中异常波动及造成异常波动的异因是我们注意的对象。
一旦发生异常波动,就应该尽快找出原因,采取措施加以消除。将质量波动区分为偶然波动与异常波动两类并分别采取不同的对待策略,这是休哈特的贡献。
偶然波动与异常波动都是产品质量的波动,如何能发现异常波动的存在呢?我们可以这样设想:假定在过程中,异常波动已经消除,只剩下偶然波动,这当然是正常波动。
根据这种正常波动,应用统计学原理设计出控制图相应的控制界限,而当异常波动发生时,点子的排列就呈现不随机的状态,甚至落在界外。点子频频出界表明一定存在异常波动,控制图上的控制界限就是区分偶然波动与异常波动的科学界限。
根据上述,可以说休哈特控制图即常规控制图的实质是区分偶然因素与异常因素两类因素。
2.2. 测试仪器及测试条件的控制
测量数据质量由在稳定条件下运行的某一测量系统得到的多次测量结果的统计特性确定,其中,测量系统是指与进行测量有关的任何东西:人、测量工具、材料、方法和环境。
在这里,我们把“测量系统”看做是会给测量数据带来额外误差的子过程,其目的就是使用误差尽可能小的测量过程,从而提高测量数据的质量。
质量数据的准确性主要由测试仪器决定,因此,企业应当制定严格的测量制度从而控制测试仪器及测试条件。除定期对测试仪器进行维护和保养,所有测试设备应具有检测合格标志,超期或检测不合格的设备应禁止使用,同时测试方法要适应工序质量控制和评价技术的要求。
2.3. 控制图的结构
控制图(control chart)是对过程质量特性值进行测定、记录、评估,从而监察过程是否处于控制状态的一种用统计方法设计的图。图上有中心线(Central Line,CL)、上控制限(Upper Control Limit,UCL)和下控制限(Lower Control Limit,LCL),并有按时间顺序抽取的样本统计量数值的描点序列,参见下图。UCL与LCL统称为控制线(control lines)。
若控制图中的描点落在UCL与LCL之外或描点在UCL与LCL之间的排列不随机,则表明过程异常。世界上第一张控制图是美国休哈特(W. A. Shewhart)在1924年5月16日提出的不合格品率p控制图。
控制图有一个很大的优点,即在图中将所描绘的点子与控制界限或规范界限相比较,从而能够直观地看到产品或服务质量的变化。

图 控制图示例
基于正态分布(normal distribution)假设的控制图是最常用的控制图。如果数据呈正态分布,则测量结果落在±3sigma内的概率为99.73%。如薄膜沉积过程中只有偶然波动,则膜厚成正态分布。
如果除了偶然波动还有异常波动,则此异常波动将叠加在偶然波动形成的典型分布上,质量特性值的分布必将偏离原来的典型分布。因此,根据典型分布是否偏离就能判断异常波动是否发生,是否出现了异常因素,典型分布的偏离可由控制图检出。
在薄膜沉积的例子中,如果反应室的压力发生异常,导致薄膜的厚度分布偏离了原先的正态分布而向上移动,于是点子超出上控制界的概率大为增加,导致点子频频出界,表明过程存在异常波动。控制图的控制界限就是区分偶然波动与异常波动的科学界限。
只有偶然因素没有异常因素的状态,称为统计控制状态(state in statistical control),简称稳态,是控制阶段实施过程控制所追求的目标。
2.4. 两类错误风险
使用控制图要面对两类错误:
(1)第一类错误:虚发警报(false alarm)。过程正常,由于点子偶然超出界外,根据点出界就判异,于是就犯了第一类错误。通常犯第一类错误的概率记为α。第一类错误将造成寻找根本不存在的异因的损失。鉴于生产过程的复杂性,查找不存在的原因耗费巨大而没有成果,所以通常控制图的虚发警报概率α取得很小,经验证明,α=0.27%在通常情况下是很好的选择。
(2)第二类错误:漏发警报(alarm missing)。过程异常,但仍会有部分产品,其质量特性值的数值大小仍位于控制界限内。如果抽取到这样的产品,点子就会落在界内,不能判断过程出现异常,从而犯了第二类错误,即漏发警报。通常犯第二类错误的概率记为β。第二类错误将造成可能发生不合格或不合格品增加的损失。
当α0=0.27%时,对应的β就很大,这就需要增加判异准则,即使点子不出界,但当界内点排列不随机也表示存在异常因素。
2.5. 判异准则
判异准则(WECO rule)有点出界和界内点排列不随机两类。由于对点子的数目未加限制,故后者的模式原则上可以有很多种,但在实际中经常使用的只有具有明显物理意义的若干种。在控制图的判断中要注意对这些模式加以识别。所有的判异准则都是针对过程处于统计受控状态时的变异。
国标GB/T4091—2001《常规控制图》中规定了8种判异准则,为了应用这些准则,将控制图等分为6个区域,每个区宽1σ。这6个区的标号分别为A、B、C、C、B、A。其中两个A区、B区及C区都关于中心线CL对称。需要指明的是这些判异准则主要适用于均值图和单值X图,且假定质量特性X服从正态分布。
准则1:一点落在A区以外,见下图(a)。在许多应用中,准则1甚至是唯一的判异准则。准则1可对参数μ的变化或参数σ的变化给出信号,变化越大,则给出信号越快。准则1还可对过程中的单个失控做出反应,如计算错误、测量误差、原材料不合格、设备故障等。
当过程处于统计控制状态时,点子落在控制线内的概率为99.73%,落在控制线外的概率为1-99.73%=0.27%,虚发警报的概率为0.27%。

准则2:连续9点落在中心线同一侧,见上图(b)。此准则是为了补充准则1而设计的,以改进控制图的灵敏度。出现上图(a)准则2的现象,主要是过程平均值μ减小的缘故。选择9点是为了使其犯第一类错误的概率α与准则1的α0=0.0027大体相仿。P(连续9点落在中心线同一侧)=2*(0.5)9=0.3906%。虚发警报的概率为0.3906%。
准则3:连续6点递增或递减,见下图(c)。此准则是针对过程平均值的趋势进行设计的,它判定过程平均值的较小趋势要比准则2更为灵敏。产生趋势的原因可能是工具逐渐磨损、维修逐渐变坏、操作人员技能的逐渐提高等,从而使得参数α随着时间而变化。该准则虚发警报的概率为P(连续6点递增或递减)=2/6!*(0.9973)6=0.2733%。
准则4:连续14点相邻点上下交替,见上图(d)。本准则是针对由于轮流使用两台设备或由两位操作人员轮流进行操作而引起的系统效应。实际上,这就是一个数据分层不够的问题。选择14点是通过统计模拟试验而得出的,也是为使其α大体与准则1的α0=0.0027相当。虚发警报的概率大约为0.004。
准则5:连续3点中有2点落在中心线同一侧的B区以外,见下图(e)。过程平均值的变化通常可由本准则判定,它对于变异的增加也较灵敏。这里需要说明的是:3点中的2点可以是任何2点,至于第3点可以在任何处,甚至可以根本不存在。出现准则5的现象是由于过程参数μ发生了变化。虚发警报的概率为0.3048%。

准则6:连续5点中有4点落在中心线同一侧的C区以外,见上图(f)。与准则5类似,这第5点可在任何处。本准则对于过程平均值的偏移也是较灵敏的,出现本准则的现象也是由于参数μ发生了变化。虚发警报的概率为0.5331%。
准则7:连续15点在C区中心线上下,见下图(g)。出现本准则的现象是由于参数σ变小。对于这种现象不要被它的良好“外貌”所迷惑,而应该注意到它的非随机性。造成这种现象的原因可能有数据虚假或数据分层不够等。虚发警报的概率为0.326%。

准则8:连续8点在中心线两侧,但无一在C区中,见上图(h)。造成这种现象的主要原因也是因为数据分层不够。该准则虚发警报的概率为0.0103%。
2.6. 常用控制图的分类
根据控制参数的不同可以分为八大类常规控制图,如下表所示(国标GB/T 4091)。

根据使用过程中工序是否处于稳态,又可以分为分析用控制图和控制用控制图。
一道工序开始应用控制图时,几乎总不会恰巧处于稳态,也即总存在异因。
如果就以这种非稳态状态下的参数来建立控制图,控制图界限之间的间隔一定较宽,以这样的控制图来控制未来,将会导致错误的结论。因此,一开始,总需要将非稳态的过程调整到稳态,这就是分析用控制图的阶段。
等到过程调整到稳态后,才能延长控制图的控制线作为控制用控制图,这就是控制用控制图的阶段。
分析用控制图阶段主要解决两个问题:①所分析的过程是否处于统计控制状态;②该过程的过程能力指数Cp是否满足要求。当上述问题解决之后,即进入控制用控制图阶段,出现点子出界或非随机排列时需要查找原因,改正之后才能继续生产。
2.7. 控制图与规格界限
控制图与规格界限之间存在一定的区别,主要如下:
(1)控制图是用于监控稳定性,控制图的目的是监控目前过程处的状况,即使其不能达到规格;
(2)控制界限与规格界限绝对没有关系;
(3)控制图监控一组产品的均值和变异。规格是针对个别数值;
(4)规格界限不应该放置于控制图之上;
(5)能力分析要分开进行,尽管稳定性是宣称过程有能力的先决条件。




3. 过程能力指数
当过程处于稳态时,产品的计量质量特性值有99.73%落在μ±3σ的范围内,其中μ为质量特性值的总体均值,σ为质量特性值的总体标准差,也即有99.73%的产品落在上述6σ范围内,这几乎包括了全部产品。故通常将6倍标准差(6σ)范围视为过程的自然波动。把过程的自然输出能力与要求的容差比较,著名质量专家朱兰引入能力比的概念,即过程能力指数Cp。
受益于数理统计理论的发展,朱兰博士提出了工序能力指数的概念。他首先分析了工序能力与产品规范范围的关系,并用规范范围与工艺参数标准偏差的比值定义了工序能力指数。为分析和评价工序能力,日本和美国的企业先后采用了工序能力指数方法。
利用工序能力指数,不仅可以预测现有生产工艺能否符合设计公差要求,同时亦能用于分析这一工序为何不符合规定的产品公差要求。
上世纪 80 年代,在参观研究了日本企业的质量保证体系之后,福特汽车公司质量专家 L. P. Sullivan 公开发表文章介绍了日本企业应用工序能力指数的现状。随后,Sullivan 在关于该文章的致读者信中,提出了一系列工序能力指数。
1985 年,在美国国家标准学会的年会上,日本质量专家 Genichi Taguchi 介绍了一种基于质量损失函数的工序能力指数。福特汽车公司的质量经理 V. E. Kane 在总结现有研究成果的基础上,于 1986 年系统地介绍了 Cp,Cpk,Cpl,Cpu 指数。Kane 明确指出 Cp 指数反映了工艺的潜在工序能力,是一个无量纲量。如果实际工艺参数均值与所期望的目标值之间存在偏离,则不能利用 Cp 指数进行工序能力分析。而 Cpk 指数不仅反映了工艺参数的一致性,也反映了工艺参数均值与目标值的偏离,它能够评价和分析工艺的实际工序能力。因此,Cpk 指数成为工序质量评价实践中应用最为广泛的工序能力指数。
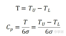
3.1. 双侧公差情况的过程能力指数
对于双侧公差情况,过程能力指数Cp的定义如下:

公式中,T为技术公差的幅度,TU、TL分别为上、下公差界限,σ为质量特性值分布的总体标准差。
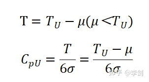
3.2. 单侧公差情况的过程能力指数
若只有上限要求,而对下限没有要求,则过程能力指数计算如下:

公式中,CPU为上单侧过程能力指数。当μ≥TU时,记CPU=0。
若只有下限要求,而对上限没有要求,则过程能力指数计算如下:

公式中,CPL为下单侧过程能力指数。当μ≤TL时,记CPL=0。
当上述四式中的μ与σ未知时,可用样本估计,例如用X估计μ,用s估计σ。
3.3. 有偏移情况的过程能力指数
当产品质量特性值分布的均值μ与公差中心M不重合,即有偏移时(见下图),不合格品率必增大,Cp值降低,故上面的式子所计算的过程能力指数不能反映有偏移的实际情况,需要加以修正。记修正后的过程能力指数为CpK,则公式为:
Cpk=min(CpU,CpL)

图 产品质量分布的均值μ与公差中心M不重合的情况
记分布中心μ与公差中心M的偏移为ε=|M-μ|,定义μ与M的偏移(偏移度)K为

则过程能力指数修正为:

这样,当μ=M(即分布中心与公差中心重合无偏移)时,K=0,CpK=Cp。注意,CpK也必须在稳态下求得。
3.4. 实际工序能力指数Cpk的局限性
Cp指数和Cpk指数仅适用于评价单变量工艺的工序能力,并不适用于多变量生产过程的工艺评价。此外,工艺制造水平、产品的内在质量和可靠性水平也间接表现为工艺成品率的高低。
然而, Cpk 指数与成品率之间并不存在一一对应关系,实际生产人员无法通过该指数获知工艺或产品的成品率水平。
编者按:本文转载自微信公众号:常垒资本(ID:conswall_cap),作者:李剑
广告、内容合作请点这里:寻求合作
咨询·服务
