三次合作,两篇Nature一篇Science!北大马丁/中科大周武/大连理工石川等人再次在低温产氢领域取得重大突
作者|高分子科学前沿 来源|高分子科学前沿(ID:Polymer-science)
水煤气变换(water–gas shift,WGS)反应不仅是能源化工领域工业上重要的纯氢(H2)来源,也是去除CO和产氢的关键过程。受到化学平衡限制,WGS反应更倾向在低温下进行,这对催化剂的活性和耐久性提出了更高的要求。在燃料电池中,同样也需要WGS催化剂具有更高活性和稳定性,来满足节能降耗、和特定的工作温度,实现在线产氢。而构建能够实现高负载量、高催化活性和耐久性的表面原子种类的催化剂仍然是一个巨大的挑战。
鉴于此,北京大学化学与分子工程学院马丁课题组与中科大的周武、中国科学院山西煤化所/中科合成油的温晓东、以及大连理工大学的石川等课题组强强合作,三次联手在低温产氢领域取得重大突破,研究成果陆续刊登在《Nature》和《Science》正刊上!
2017年3月23日,北京大学马丁课题组与中国科学院大学周武、中国科学院山西煤化所/中科合成油温晓东以及大连理工大学石川等课题组合作,在《Nature》上报道了一种新型原子级分散的铂-碳化钼双功能催化剂,在低温下(150-190℃)实现了极高的产氢效率。金属铂(Pt)与碳化钼(MoC)基底之间存在着非常强的相互作用,使得铂以原子级分散在碳化钼纳米颗粒表面,构筑出高密度的原子尺度催化活性中心,从而使得整个催化剂在甲醇和水液相反应中表现出超高的产氢活性:在190℃产氢速率可达每摩尔Pt 每小时18046 mol H2,较传统铂基催化剂活性提升了近两个数量级。

该研究工作构建了新的化学高效储放氢体系,为燃料电池的原位供氢提供了新的思路,并有望作为下一代高效储放氢新体系得到应用。
随后仅四个月,2017年6月28日,北京大学马丁、布鲁克海文国家实验室的José A. Rodriguez、大连理工大学的石川、中国科学院大学周武以及山西煤化所/中科合成油温晓东等人再次联手,报道了一种在α-MoC基底上沉积原子层Au团簇的界面催化剂用于超低温WGS反应!
在该工作中,研究人员通过在α-MoC基底上合成了外延生长的二维层状Au团簇,形成了具有超低温WGS反应活性的界面催化剂体系。其中,水在303K温度下部分氧化的α-MoC上活化,在Mo位点生产表面OH;同时,CO吸附在相邻的Au位点,反应能垒相对较低,易于和表面羟基反应,从而实现了超低温下的高催化活性! 研究成果以“Atomic layered Au clusters on α-MoC as catalyst for the low temperature water gas shift reaction”发表在《Science》上。

2021再度携手合作,低温产氢再次登上《Nature》
近日,北京大学马丁课题组与中国科学院大学周武、中国科学院山西煤化所/中科合成油温晓东以及大连理工大学石川等课题组再次强强合作,在低温产氢领域取得重大突破!研究人员报道了一种在α-MoC表面创建大量表面位点以锚定Pt原子种类的策略,成功制备了一种坚固、高效和稳定的(Pt1-Ptn)/α-MoC催化剂用于催化WGS反应,其中孤立的Pt原子(Pt1)和亚纳米铂团簇(Ptn)物种以高密度共存。据悉,这是迄今为止报道的催化性能最佳的WGS催化剂!该研究成果以“A stable low-temperature H2-production catalyst by crowding Pt on α-MoC”为题,于2021年1月20日发表在《Nature》上。

文章要点
Part 1 Pt/α-MoC催化剂的结构表征
要点一:研究人员使用改进的初湿浸渍法制备了一系列载有0.02–8 wt%Pt的Pt/α-MoC催化剂。XRD表征显示,即使Pt负载量高达5 wt%,Pt物种也均高度分散在α-MoC上。
要点二:STEM和X射线吸收精细结构XAFS表征结果表明,负载量为0.2 wt%时,所有Pt物种都原子分散在α-MoC载体上,每100 nm2的表面密度约为9 Pt1。随着Pt负载的增加,表面Pt物种的密度增加,2 wt%和8 wt%的负载下Pt1物种的密度分别增加到每100 nm2 42 Pt1和每100 nm2 80 Pt1。
要点三:随着Pt负载的增加,催化剂的结构也在变化,Pt簇(2%-5%)和Pt纳米颗粒(8%)相继出现。当Pt负载量分别为0.02 wt%、2 wt%和8 wt%时,Pt的平均Pt-Pt配位数分别从0增加到3.8到5.6。

图1. Pt /α-MoC催化剂的结构表征和WGS性能。
Part 2 Pt/α-MoC催化剂的WGS性能
要点一:研究人员评估了无产物和完全重整气进料条件下Pt /α-MoC催化剂的WGS性能。在无产物气体进料,气体时空速度180,000 h-1条件下,负载量为2wt%的(Pt1-Ptn)/α-MoC催化剂在393 K至673 K的宽反应温度范围内,能够实现90-100%的CO转化率。
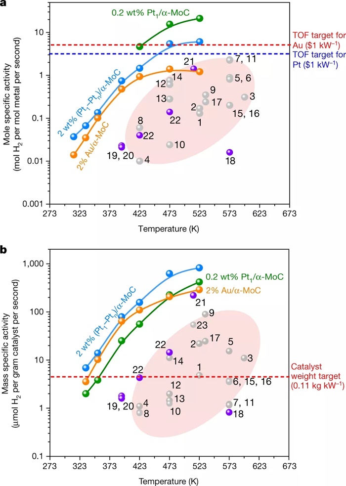
要点二:进一步测量了在完全重整气进料(393-523 K)和无产物气进料(313-353 K)下动力学区域催化剂的摩尔比活度(每摩尔Pt每秒的氢气H2),以比较它们的内在活性。结果表明,与其他WGS催化剂相比,Pt /α-MoC催化剂具有更高的活性和更宽的反应温度范围!尤其是0.2 wt%Pt1 /α-MoC催化剂,在313、393、423、473和523 K时均显示出非常高的Pt归一化活性,分别为每摩尔Pt每秒0.11、2.2、4.7、15.5和21.2 mol H2,远高于迄今为止报道的任何催化剂。

图2:Pt /α-MoC催化剂和其他WGS催化剂的性能对比。
Part 3 Pt/α-MoC催化剂的耐久性
要点一:研究人员评估了0.02 wt%Pt1 /α-MoC和2 wt%(Pt1-Ptn)/α-MoC催化剂在重整气进料和高空速(743,800 ml g-1 h-1)中的耐久性。结果表明,0.02 wt%的Pt1/α-MoC催化剂虽然表现出极高的初始活性,但活性随运行时间而迅速下降,在反应10小时后几乎消失。
要点二:与之形成鲜明对比的是,2 wt%(Pt1-Ptn)/α-MoC具有更高密度的原子Pt种类(Pt1和Ptn),显示出更好的稳定性。即使活性在开始的20小时内略有下降,但反应100小时后仍保持原始的54%。值得注意的是,在263小时内,周转数达到了每摩尔Pt 4,300,000 mol H2的超高值。
要点三:2 wt%(Pt1-Ptn)/α-MoC催化剂高稳定性的关键在于其表面高密度的原子Pt种类(Pt1和Ptn),可以帮助消除过量的表面氧物质,从而避免了催化剂表面的氧化和失活。原位XPS和XRD表征显示,具有非常低的Pt1物种密度的0.02 wt%催化剂的表面大部分被氧化(图4b)。相比之下,2 wt%(Pt1-Ptn)/α-MoC催化剂的表面在反应8小时后仍未氧化,即使在WGS反应中263小时后,表面Pt物种也得以很好地保留。

图3:Pt /α-MoC催化剂对WGS反应的稳定性。
参考文献:
Zhang, X., Zhang, M., Deng, Y. et al. A stable low-temperature H2-production catalyst by crowding Pt on α-MoC. Nature 589, 396–401 (2021). DOI:10.1038/s41586-020-03130-6.
https://doi.org/10.1038/s41586-020-03130-6
编者按:本文转载自微信公众号:高分子科学前沿(ID:Polymer-science)
广告、内容合作请点这里:寻求合作
咨询·服务
