浙江大学潘鹏举教授等:特殊结晶相构筑的形状记忆材料
作者|老酒高分子 来源|高分子科技(ID:Polymer-China)
结晶态是高分子材料的主要聚集态结构形式。高分子在结晶中除了形成热力学稳定态晶相外,也可形成亚稳态晶相。不同高分子或高分子单元在特定条件下可以形成共结晶,例如手性高分子之间的立构复合结晶、无规共聚物的异质同晶(Isomorphism)和异质同二晶(Isodimorphism)。结晶性高分子多样化的晶型或晶相结构已广泛用于材料通用性能(热性能、力学性能等)的调控,但其难以与材料的功能相关联。浙江大学潘鹏举教授等在高分子多晶型与相转变的研究基础上,基于高分子结晶中特殊晶相的结晶/熔融(熔点、熔程等)行为,将其用于调控形状记忆材料的变形行为。在前期研究中,基于手性高分子的共结晶,实现了形状记忆材料固定温度和变形温度的调控(Macromolecules 2015, 48, 7872);基于聚合物弹性体结晶中所形成的熔点较低的结晶中介相,实现了材料的多重形状记忆效应(ACS Macro Lett. 2018, 7, 233)。
最近,浙江大学潘鹏举教授等利用无规共聚物的异质同二晶作为可逆相,设计制备了具有可控变形温度且可重塑的形状记忆材料。在该工作中,通过聚戊内酯二醇(PVL)和聚己内酯二醇(PCL)共混物的酯交换反应,制备了一系列具有不同共聚组成的可共晶的P(CL-co-VL)共聚酯(图1)。

图1 聚合物网络的制备
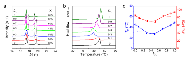
该共聚酯呈现异质同二晶行为,在不同共聚组成时均具有较高的结晶度,这保证材料具有良好的力学性能(图2)。共聚酯的熔点可通过戊内酯和己内酯单元的含量进行调控,在一定组成时共聚酯呈现低共熔点(Eutectic point),该共熔点比PCL和PVL均聚物的熔点低约20 ℃,异质同二晶共聚物熔点的可控性可用于形状记忆材料固定温度和变形温度的调控。

图2 共聚酯的结晶结构和热性能
进一步将异质同二晶的P(CL-co-VL)共聚物交联,制备了聚合物弹性体(图1b)。基于弹性体中异质同二晶相的结晶/熔融转变,实现了材料的形状记忆效应。由于异质同二晶的熔点略低于体温,弹性体在体温条件下具有良好的形状固定和回复能力,而由PCL或PVL均聚物制备的弹性体的形状固定和回复温度在50 ºC左右,不能在体温条件下变形。弹性体中的动态酯交换反应赋予材料可重塑的特性,利于具有复杂结构的永久形状的设计(图3a)。基于弹性体可体温变形和可重塑的特点,进一步制备了血管支架模型,该支架在体温条件下可自膨胀(图3b),有望用于可降解支架材料方面。

图3 弹性体的形状记忆和热重塑性能
上述成果以“Sequence-Rearranged Cocrystalline Polymer Network with Shape Reconfigurability and Tunable Switching Temperature”为题发表在ACS Macro Letters上(ACS Macro Lett. 2020, 9, 588-594),论文第一作者为博士生袁文华,通讯作者为潘鹏举教授,该研究得到了浙江大学谢涛教授和赵骞副教授的帮助。
论文链接:
https://doi.org/10.1021/acsmacrolett.0c00075
编者按:本文转载自微信公众号:高分子科技(ID:Polymer-China) ,作者:老酒高分子
广告、内容合作请点这里:寻求合作
咨询·服务
