NEJM双重磅:美加两国临床试验证实,益生菌株LGG对小儿急性胃肠炎毫无益处
本文为奇点原创文章(公众号:geekheal_com)
这年头,智商税都是上赶着交。不久前曝出的那些富豪们跑到国外,注射作用不明干细胞求长寿健康的新闻,就让某只奇点糕很是感慨:本来还羡慕他们有钱,现在觉得咱智商反而碾压他们了,嗯,心里平衡了。
常说不看广告看疗效,不过有几个人能够冷静下来,看穿各种真真假假,虚虚实实的把戏呢?一窝蜂的从众才是常态啊,就比如各种好处被吹上天的益生菌,谁没喝过举个手……
看花了眼就别看了,抓一瓶就走呗……
牛皮吹大了,是会破滴。在今天的《新英格兰医学杂志》上,美国和加拿大开展的两项大规模临床试验结果,给益生菌产业劈头又浇了一盆冷水:对急性胃肠炎的患儿补充益生菌进行辅助治疗,完全无法改善患儿的症状!
而且这两项临床试验考验的,还是号称]全球被研究最多最透彻的鼠李糖乳杆菌,也就是LGG益生菌!这不禁让奇点糕心头冒出来一个大大的问号:益生菌,真的能益生吗?

益生菌是不是真的名副其实,现在下结论还有点儿早
益生菌可以算是网红了,尤其是妈妈们,恨不得给孩子们的肠道里塞满有益菌,夸张点说,哪个中国孩子没吃过呢?但益生菌到底有没有宣传所说的“神奇”效果,还真不好说,记得不久前《细胞》的两篇重量级论文泼凉水吗?
虽然还有很多不确定,证据也不怎么充分,但辅助治疗胃肠道疾病,尤其是表现为腹泻、呕吐的急性肠胃炎,是益生菌目前用得最广泛的领域,甚至有临床指南的推荐,不少医生和家长也信这个。
急性肠胃炎,婴幼儿最常见的疾病之一,虽然很少致命,但看到孩子上吐下泻,哪个家长不急呢?单单在美国,每年就有170万次儿科急诊是因为急性肠胃炎,如果每次都用到益生菌治疗,市场可小不了。
病毒感染是急性胃肠炎最常见的病因,但众所周知,病毒可不好对付……
肠胃的毛病靠益生菌来调理,逻辑上似乎没什么毛病:调节肠道免疫啊、改善肠道生态啊、排除毒素啊……稍微改改都能拿去当产品宣传语了。而LGG菌,就是目前肠胃炎治疗中被研究最多,用得也最多的益生菌。
作为人类最早认识的益生菌之一,LGG菌早在1983年就被美国科学家发现,之后经过了科学界长期研究,相关的论文有800多篇,含有LGG菌的保健品更是早早进入了市场……可以算是益生菌里的老江湖了。

肠胃的毛病从肠道菌群治起,算是近水楼台了
拜某些专家站台所赐,含LGG菌的产品近几年也在国内火了起来。然而到目前为止,都没有什么有力的证据能证实LGG菌在治疗肠胃炎方面的益处,老江湖又怎么样?“有病治病,没病强身”的瞎吃,有些医生可看不下去。
本次发表在《新英格兰医学杂志》上的两项临床试验结果,分别出自美国和加拿大团队开展的大规模试验,好处是不是吹出来的,一做临床就清楚了。

这两项试验的资金来源,和其他益生菌产品厂商没有关联,所以不用阴谋论……
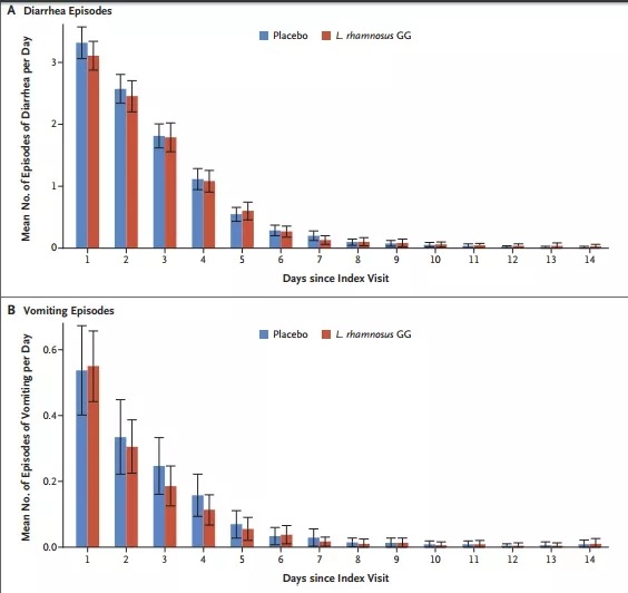
在美国10家医院开展的PECARN试验由华盛顿大学医学院主持,研究共入组了971名因为患急性胃肠炎,到医院急诊就诊的3-48个月大患儿,按照1:1的比例分组,分别每天两次服用含有LGG益生菌的康萃乐(Culturelle)或安慰剂。
急诊治疗后,试验人员会对患儿进行为期两周的随访,对患儿父母报告的呕吐、腹泻等症状进行评估,评价患儿的胃肠炎症状严重程度。试验的主要终点,就是患儿胃肠炎症状为中重度(Vesikari评分不低于9分)的比例。
还好美国不存在儿科急诊停诊的事儿,不然试验怎么做……
用论文第一作者David Schnadower的话说,试验结果足够让他们医院的益生菌辅助治疗被叫停了。康萃乐治疗的患儿和安慰剂治疗的患儿,出现中重度胃肠炎的比例分别是11.8%和12.6%,没有统计学上的明显差异!
在研究的次要终点,比如腹泻和呕吐的发生频率、持续时间、患儿由于症状加重需要再次就诊的比例、家长照顾孩子而误工的时间等一系列指标上,康萃乐的使用,怎么分析都分析不出好处……
David Schnadower认为,让孩子吃LGG益生菌产品,还不如省下这钱,等病好了吃大餐呢。如果不吃大餐,买点蔬菜水果之类的健康食品也好啊。

数据得出的结论很简单:吃益生菌等于吃安慰剂……
而由加拿大团队开展,入组了886名患儿的PERC PROGUT试验也得出了相似的结论,这项试验中使用的益生菌产品稍有不同,是兼有LGG和瑞士乳杆菌两种益生菌的Lacidofil,但多一种益生菌也没带来什么优势。
具体到患儿中重度结肠炎症状的发生率来看,补充Lacidofil的试验组患儿是26.1%,还要略高于安慰剂组的24.9%,而在次要终点方面,试验组患儿出现呕吐症状的风险更是升高了36%。
因此,主持这项试验的卡尔加里大学副教授Stephen Freedman在采访中直接表示:“治疗肠胃炎一直是益生菌最热推的目标,但这项试验的结果已经说明问题了,益生菌虽然无害,但也无益啊。”
当然,这两项试验也不至于把益生菌直接拍死,因为益生菌的种类繁多,而试验涉及的毕竟只有两种,但对于这个火热又混乱的市场,当头一棒很有必要。专家推荐不等于权威,广告宣传也不能全信,一切还是要让科学说话,对吧?
广告、内容合作请点这里:寻求合作
咨询·服务
